🇬🇳 Guinea
This IBAT Country Profile delivers nationally relevant data that are disaggregated from global datasets, to support conservation planning and reporting. It presents information on species from The IUCN Red List of Threatened Species™, Protected Areas and Other Effective Area-Based Conservation Measures (OECMs) from the World Database on Protected and Conserved Areas (WDPCA) and on Key Biodiversity Areas (KBAs) from the World Database of Key Biodiversity Areas (WDKBA). More information on these datasets can be found below. IBAT Country Profiles are designed to build understanding of information about Protected Areas, OECMs, important sites and species present, to aid national decision-making. More specifically, this tool presents a synthesis of a vast repository of knowledge to understand issues such as extinction risk and threats to assessed species, the coverage and designation of Protected Areas and OECMs, and the location of KBAs and the degree to which they are covered by Protected Areas and OECMs.
This information can support the revision of a National Biodiversity Strategy and Action Plan (NBSAP), including, for example the development of targets and indicators. It is also highly pertinent for implementation, monitoring and reporting. In addition, it presents the opportunity to harmonise data used by government, business and other relevant stakeholders when conducting spatial planning exercises. The country profiles are updated at the end of each year using the latest versions of the WDPCA, WDKBA, and IUCN Red List. Some of the indicators presented are also included in UN SDG Indicator Database, which is updated mid-way through the year, hence there may be periodic mismatches between the data on the two platforms owing to asynchrony in update cycles.
BirdLife International, IUCN, and UNEP-WCMC are the data providers of the Sustainable Development Goals (SDG) 14 and 15 indicators: 14.5.1: Coverage of protected areas in relation to marine areas, 15.1.2 Average proportion of Freshwater Key Biodiversity Areas (KBAs) covered by protected areas (%), 15.1.2 Average proportion of Terrestrial Key Biodiversity Areas (KBAs) covered by protected areas (%), 15.4.1 Coverage by protected areas of important sites for mountain biodiversity, and 15.5.1 Red List Index. These indicators are all included here and are highlighted with their relevant SDG icon. Please click on the icons for further information.
Disclaimer: The statistics and indicators presented on protected areas, OECMs, KBAs and species may differ from those reported nationally by countries owing to differences in methods, data and/or metrics. National metrics may be more appropriate for some purposes, but do not allow comparison between countries or regions or with global statistics if they are not standardised. The metrics presented for each nation on the IBAT Country Profiles are consistent and standardised in terms of input data, methods and presentation, allowing such comparisons.
1 Information about species extinction risk
1.1 Overview
This section provides country specific information about species with respect to their risk of becoming extinct, according to The IUCN Red List of Threatened Species™ (hereinafter referred to as the “IUCN Red List”). The IUCN Red List is widely recognized as the most comprehensive, objective global approach for evaluating the conservation status of plant and animal species. It provides taxonomic, conservation status and distribution information on plants, fungi and animals that have been globally evaluated using the IUCN Red List Categories and Criteria. It also provides information about species for which countries will have management responsibility (i.e. single country endemic species) and information about known threats to species. This information can be used to prioritise species for conservation action by identifying the species that are most threatened with extinction.
These data are carefully curated by each IUCN Red List Partners organisation. Please see Appendix 1 for important information about the data origin and character, and how to use this information appropriately.
1.2 Species Assessed for Extinction Risk
Table 1 provides totals of all species in each IUCN Red List category by major taxonomic group, irrespective of whether the group has been comprehensively assessed. Please see Appendix 1 for information about how this data is compiled and which species are shown to be assessed in your country.
Table 1. Species occurring in your country with extinction risk assessments published on The IUCN Red List (Nov 2025)
Red List Categories: EX = Extinct; EW = Extinct in the Wild; CR = Critically Endangered; EN = Endangered; VU = Vulnerable; NT = Near Threatened; LR/CD = Lower Risk/Conservation Dependent; LC = Least Concern; DD = Data Deficient.
| Taxonomic group | Total assessed species | Total known threatened species (CR, EN & VU) | EX & EW | CR | EN | VU | NT | LR/CD | LC | DD |
|---|---|---|---|---|---|---|---|---|---|---|
| ACTINOPTERYGII | 1472 | 79 | 0 | 2 | 24 | 53 | 21 | 0 | 1281 | 91 |
| AGARICOMYCETES | 6 | 0 | 0 | 0 | 0 | 0 | 0 | 0 | 6 | 0 |
| AMPHIBIA | 101 | 8 | 0 | 2 | 4 | 2 | 4 | 0 | 80 | 9 |
| ANTHOZOA | 4 | 0 | 0 | 0 | 0 | 0 | 0 | 0 | 3 | 1 |
| ARACHNIDA | 5 | 0 | 0 | 0 | 0 | 0 | 0 | 0 | 5 | 0 |
| AVES | 668 | 27 | 0 | 4 | 5 | 18 | 31 | 0 | 609 | 1 |
| BIVALVIA | 27 | 3 | 0 | 1 | 0 | 2 | 0 | 0 | 20 | 4 |
| CEPHALOPODA | 36 | 2 | 0 | 0 | 0 | 2 | 0 | 0 | 19 | 15 |
| CHONDRICHTHYES | 97 | 63 | 0 | 21 | 20 | 22 | 15 | 0 | 17 | 2 |
| GASTROPODA | 62 | 1 | 0 | 1 | 0 | 0 | 3 | 0 | 55 | 3 |
| HOLOTHUROIDEA | 4 | 0 | 0 | 0 | 0 | 0 | 0 | 0 | 2 | 2 |
| INSECTA | 514 | 2 | 0 | 1 | 0 | 1 | 3 | 0 | 504 | 5 |
| LILIOPSIDA | 397 | 58 | 0 | 5 | 29 | 24 | 10 | 0 | 323 | 6 |
| LYCOPODIOPSIDA | 6 | 0 | 0 | 0 | 0 | 0 | 0 | 0 | 4 | 2 |
| MAGNOLIOPSIDA | 1035 | 172 | 0 | 28 | 75 | 69 | 40 | 0 | 807 | 11 |
| MALACOSTRACA | 27 | 4 | 0 | 0 | 2 | 2 | 0 | 0 | 16 | 7 |
| MAMMALIA | 280 | 42 | 0 | 4 | 15 | 23 | 19 | 0 | 211 | 8 |
| POLYPODIOPSIDA | 29 | 2 | 0 | 0 | 1 | 1 | 0 | 0 | 26 | 1 |
| REPTILIA | 158 | 11 | 0 | 2 | 2 | 7 | 3 | 0 | 137 | 7 |
| SARCOPTERYGII | 1 | 0 | 0 | 0 | 0 | 0 | 0 | 0 | 1 | 0 |
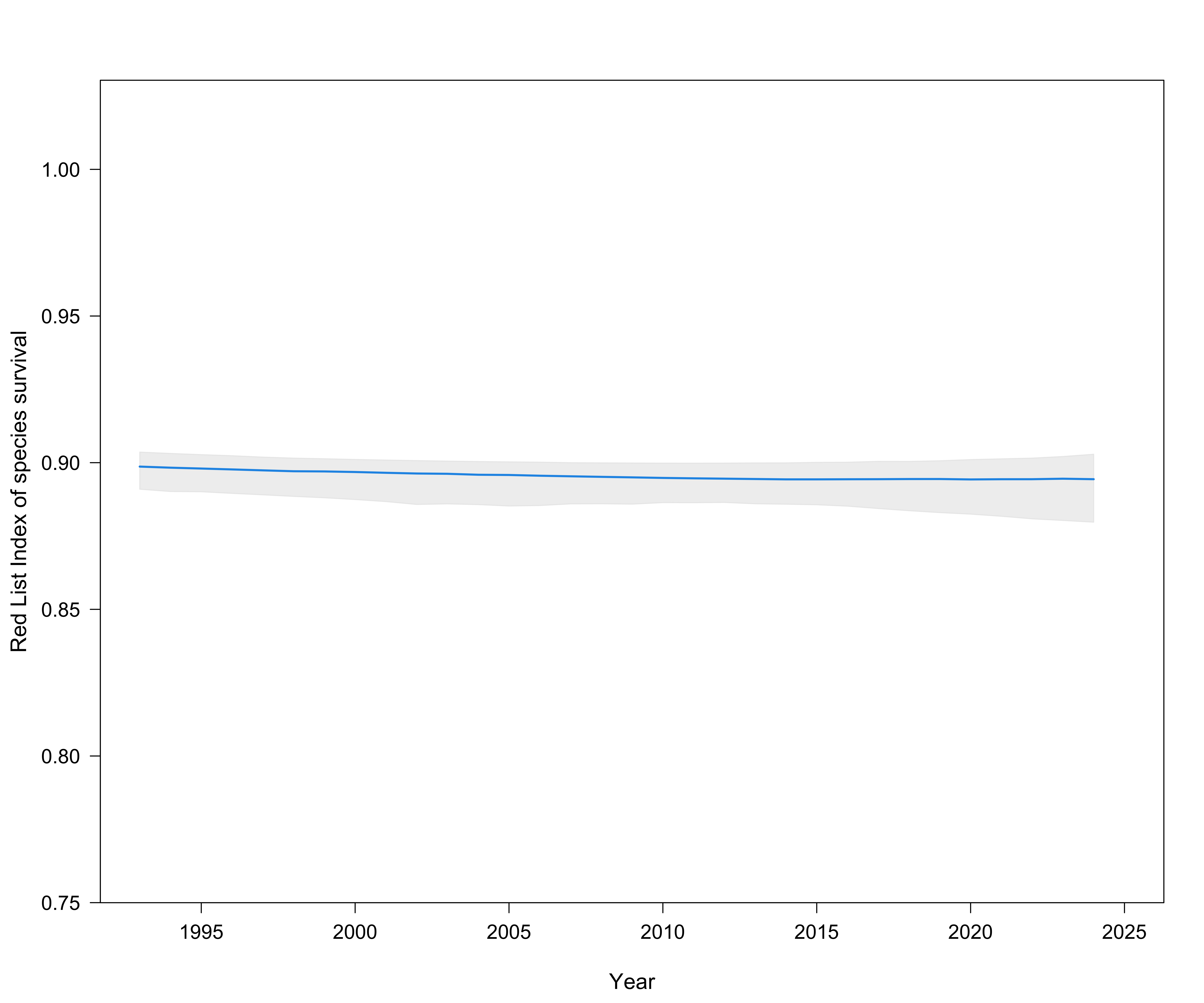
1.3 Red List Index
The IUCN Red List Index (RLI) measures overall trends in extinction risk for sets of species, based on genuine changes in their status over time. Figure 1 shows the RLI for your country. For a number of species groups, all species have been assessed multiple times (birds, mammals, amphibians, corals and cycads), allowing the calculation of the Red List Index as an indicator measuring the aggregate change in survival probability across the entire species group. Data for other species groups will become available soon. The Red List Index is calculated based on genuine changes in the number of species in each category of extinction risk on The IUCN Red List of Threatened Species. Red List Indices for each country are weighted by the fraction of each species' distribution occurring within the country; they therefore show how adequately species are conserved or not in the country relative to its potential contribution to global species conservation.
For further information, see https://www.iucnredlist.org/assessment/red-list-index.
Figure 1. Red List Index of species survival for this country, weighted by the fraction of each species’ distribution occurring within the country.
Grey shading shows 95% confidence intervals, where relevant. The index varies from 1 if the country has contributed the minimum it can to the global RLI (i.e. if all species in the country are classified as Least Concern) to 0 if the country has contributed the maximum it can to the global RLI (i.e., if all species in the country are classified as Extinct or Possibly Extinct). A downwards trend indicates declining aggregate survival probability of the country's species. The index is based on all mammals, birds, amphibians, reef-building corals and cycads native to the country (noting that not all countries support species in all these groups).
1.4 Number of species by threat
Threats to species are factors that impact on a particular species' extinction risk.
The information in Figure 2 below includes all assessed species (not only those comprehensively assessed) classified as threatened (Critically Endangered, Endangered and Vulnerable).
The IUCN Red List uses a hierarchical structure of threat types. The IUCN Threat Classification can be found here: https://www.iucnredlist.org/resources/threat-classification-scheme, which includes full definition of all threat classes.
Figure 2. Most significant global threats* to species that occur in this country. The threats are ordered by significance in-country.
Direct threats are the proximate human activities or processes that have impacted, are impacting, or may impact the status of the taxon being assessed, for example unsustainable fishing or logging. Direct threats are synonymous with sources of stress and proximate pressures. Note that the IUCN Red List also contains data on the stresses by which these threats impact species, such as via direct mortality or ecosystem degradation.
Due to the way that The IUCN Red List is compiled and managed, threats listed above may not impact species listed within a particular country. The threats listed are those known to impact the species or taxonomic groups at the global level. More information about the nature of the impacts of threats and the threat classification scheme can be found here: https://www.iucnredlist.org/resources/threat-classification-scheme
Want to Learn More?
Visit the IUCN Red List of Threatened Species webpage to find out how species are classified as threatened, and other key information about species extinction: https://www.iucnredlist.org/assessment/process
The designations employed and the presentation of material on the maps in this profile do not imply the expression of any opinion whatsoever on the part of the IBAT Partners concerning the legal status of any country, territory, city or area or of its authorities, or concerning the delimitation of its frontiers or boundaries.
The data presented are curated by IBAT Partners: BirdLife International, International Union for Conservation of Nature (IUCN) and United Nations Environment Programme World Conservation Monitoring Centre (UNEP-WCMC). These partners have developed in-depth knowledge about the value, limitations and appropriate use of these data, which can provide users with confidence when applying them in a decision-making context. Where particular data fields are missing for a particular country, please contact IBAT to discuss how we may be able to assist.
Protected Areas