IBAT logo

Back

Vanuatu

This IBAT Country Profile delivers nationally relevant data that are disaggregated from global datasets, to support conservation planning and reporting. It presents information on species from The IUCN Red List of Threatened Species™, Protected Areas from the World Database on Protected Areas (WDPA) and on Key Biodiversity Areas (KBAs) from the World Database of Key Biodiversity Areas (WDKBA). More information on these datasets can be found below. IBAT Country Profiles are designed to build understanding of information about Protected Areas, important sites and species present, to aid national decision-making. More specifically, this tool presents a synthesis of a vast repository of knowledge to understand issues such as extinction risk and threats to assessed species, Protected Area coverage and designation, and the location of KBAs and the degree to which they are covered by Protected Areas.

This information can support the revision of a National Biodiversity Strategy and Action Plan (NBSAP), including, for example the development of targets and indicators. It is also highly pertinent for implementation, monitoring and reporting. In addition, it presents the opportunity to harmonise data used by government, business and other relevant stakeholders when conducting spatial planning exercises. The country profiles are updated at the end of each year using the latest versions of the WDPA, WDKBA, and IUCN Red List. Some of the indicators presented are also included in UN SDG Indicator Database, which his updated mid-way through the year, hence there may be periodic mismatches between the data on the two platforms owing to asynchrony in update cycles.

BirdLife International, IUCN, and UNEP-WCMC are the data providers of the Sustainable Development Goals (SDG) 14 and 15 indicators: 14.5.1: Coverage of protected areas in relation to marine areas, 15.1.2 Average proportion of Freshwater Key Biodiversity Areas (KBAs) covered by protected areas (%), 15.1.2 Average proportion of Terrestrial Key Biodiversity Areas (KBAs) covered by protected areas (%), 15.4.1 Coverage by protected areas of important sites for mountain biodiversity, and 15.5.1 Red List Index. These indicators are all included here and are highlighted with their relevant SDG icon. Please click on the icons for further information.

Disclaimer: The statistics and indicators presented on protected areas, KBAs and species may differ from those reported nationally by countries owing to difference in methods, data and/or metrics. National metrics may be more appropriate for some purposes, but do not allow comparison between countries or regions or with global statistics if they are not standardised. The metrics presented for each nation on the IBAT Country Profiles are consistent and standardised in terms of input data, methods and presentation, allowing such comparisons.

1 Information about species extinction risk

1.1 Overview

This section provides country specific information about species with respect to their risk of becoming extinct, according to The IUCN Red List of Threatened Species™ (hereinafter referred to as the “IUCN Red List”). The IUCN Red List is widely recognized as the most comprehensive, objective global approach for evaluating the conservation status of plant and animal species. It provides taxonomic, conservation status and distribution information on plants, fungi and animals that have been globally evaluated using the IUCN Red List Categories and Criteria. It also provides information about species for which countries will have management responsibility (i.e. single country endemic species) and information about known threats to species. This information can be used to prioritise species for conservation action by identifying the species that are most threatened with extinction.

These data are carefully curated by each IUCN Red List Partners organisation. Please see Appendix 1 for important information about the data origin and character, and how to use this information appropriately.

1.2 Species Assessed for Extinction Risk

Table 1 provides totals of all species in each IUCN Red List category by major taxonomic group, irrespective of whether the group has been comprehensively assessed. Please see Appendix 1 for information about how this data is compiled and which species are shown to be assessed in your country.

Table 1. Species occurring in your country with extinction risk assessments published on The IUCN Red List (Apr 2025)

Red List Categories: EX = Extinct; EW = Extinct in the Wild; CR = Critically Endangered; EN = Endangered; VU = Vulnerable; NT = Near Threatened; LR/CD = Lower Risk/Conservation Dependent; LC = Least Concern; DD = Data Deficient.

Taxonomic group Total assessed species Total known threatened species (CR, EN & VU) EX & EW CR EN VU NT LR/CD LC DD
ACTINOPTERYGII 1390 12 0 0 1 11 7 0 1316 55
ANTHOZOA 378 78 0 0 0 78 112 0 177 11
ARACHNIDA 1 0 0 0 0 0 0 0 1 0
AVES 125 13 1 1 3 9 13 0 98 0
BIVALVIA 8 1 0 0 0 1 0 0 1 2
CEPHALOPODA 23 0 0 0 0 0 0 0 21 2
CHONDRICHTHYES 26 11 0 1 5 5 6 0 7 2
CYCADOPSIDA 1 1 0 0 0 1 0 0 0 0
GASTROPODA 109 2 0 0 2 0 0 0 104 3
GNETOPSIDA 1 0 0 0 0 0 0 0 1 0
HOLOTHUROIDEA 44 10 0 0 5 5 0 0 21 13
HYDROZOA 6 0 0 0 0 0 1 0 5 0
INSECTA 29 0 0 0 0 0 1 0 22 5
JUNGERMANNIOPSIDA 1 0 0 0 0 0 0 0 1 0
LILIOPSIDA 58 4 0 1 2 1 1 0 45 2
MAGNOLIOPSIDA 115 5 0 0 1 4 1 0 106 0
MALACOSTRACA 28 1 0 0 0 1 0 0 25 2
MAMMALIA 29 9 0 0 5 4 1 0 16 3
PINOPSIDA 6 1 0 0 1 0 2 0 3 0
POLYPODIOPSIDA 6 0 0 0 0 0 0 0 6 0
REPTILIA 28 5 0 1 3 1 1 0 19 2

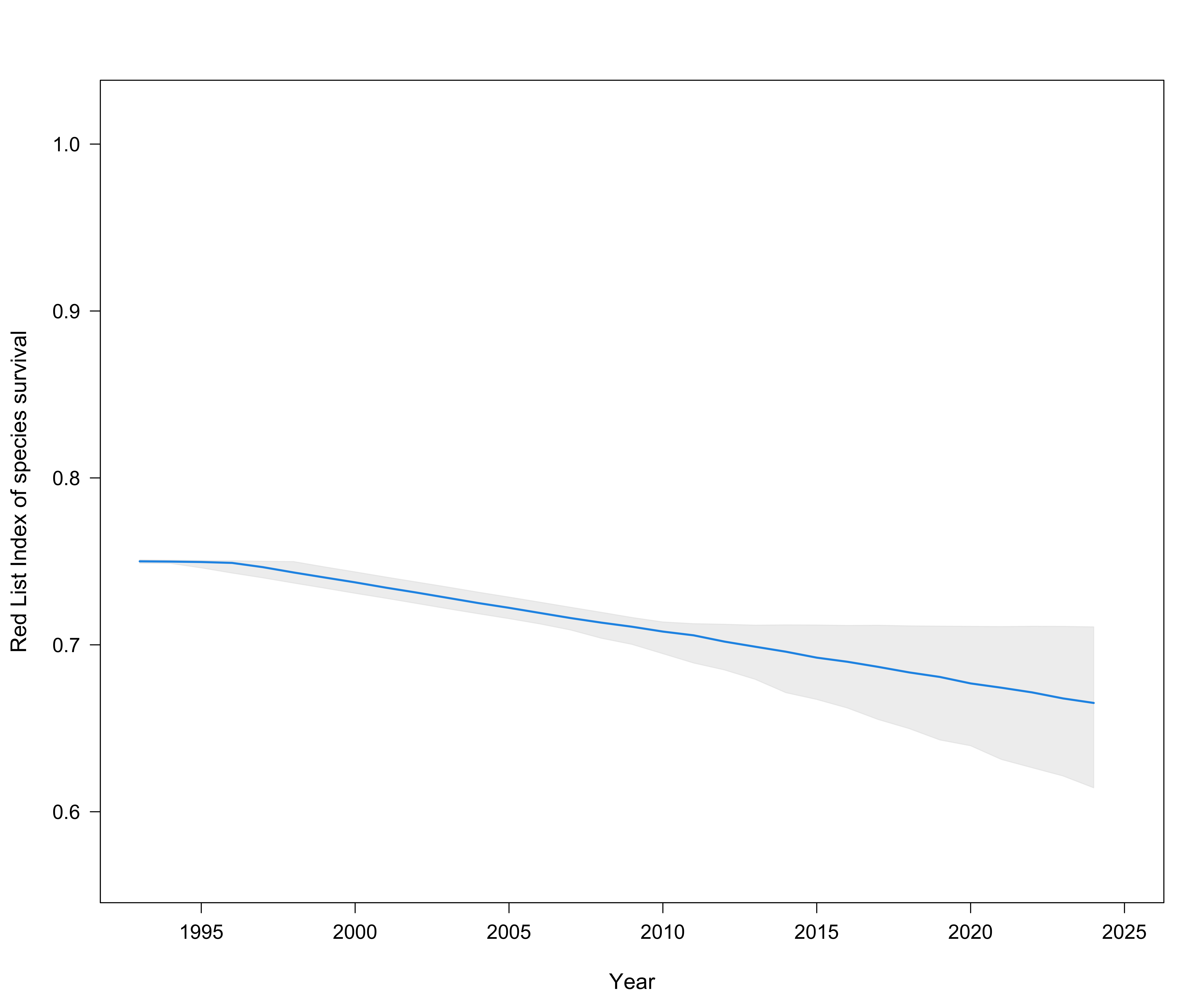
1.3 Red List Index

The IUCN Red List Index (RLI) measures overall trends in extinction risk for sets of species, based on genuine changes in their status over time. Figure 1 shows the RLI for your country. For a number of species groups, all species have been assessed multiple times (birds, mammals, amphibians, corals and cycads), allowing the calculation of the Red List Index as an indicator measuring the aggregate change in survival probability across the entire species group. Data for other species groups will become available soon. The Red List Index is calculated based on genuine changes in the number of species in each category of extinction risk on The IUCN Red List of Threatened Species. Red List Indices for each country are weighted by the fraction of each species' distribution occurring within the country; they therefore show how adequately species are conserved or not in the country relative to its potential contribution to global species conservation.

For further information, see https://www.iucnredlist.org/assessment/red-list-index.

Figure 1. Red List Index of species survival for this country, weighted by the fraction of each species’ distribution occurring within the country.

Grey shading shows 95% confidence intervals, where relevant. The index varies from 1 if the country has contributed the minimum it can to the global RLI (i.e. if all species in the country are classified as Least Concern) to 0 if the country has contributed the maximum it can to the global RLI (i.e., if all species in the country are classified as Extinct or Possibly Extinct). A downwards trend indicates declining aggregate survival probability of the country's species. The index is based on all mammals, birds, amphibians, reef-building corals and cycads native to the country (noting that not all countries support species in all these groups).

1.4 Number of species by threat

Threats to species are factors that impact on a particular species' extinction risk.

The information in Figure 2 below includes all assessed species (not only those comprehensively assessed) classified as threatened (Critically Endangered, Endangered and Vulnerable).

The IUCN Red List uses a hierarchical structure of threat types. The IUCN Threat Classification can be found here: https://www.iucnredlist.org/resources/threat-classification-scheme, which includes full definition of all threat classes.

Figure 2. Most significant global threats* to species that occur in this country. The threats are ordered by significance in-country.

Number of threatened species

Direct threats are the proximate human activities or processes that have impacted, are impacting, or may impact the status of the taxon being assessed, for example unsustainable fishing or logging. Direct threats are synonymous with sources of stress and proximate pressures. Note that the IUCN Red List also contains data on the stresses by which these threats impact species, such as via direct mortality or ecosystem degradation.

Due to the way that The IUCN Red List is compiled and managed, threats listed above may not impact species listed within a particular country. The threats listed are those known to impact the species or taxonomic groups at the global level. More information about the nature of the impacts of threats and the threat classification scheme can be found here: https://www.iucnredlist.org/resources/threat-classification-scheme

Want to Learn More?

Visit the IUCN Red List of Threatened Species webpage to find out how species are classified as threatened, and other key information about species extinction: https://www.iucnredlist.org/assessment/process

The designations employed and the presentation of material on the maps in this profile do not imply the expression of any opinion whatsoever on the part of the IBAT Partners concerning the legal status of any country, territory, city or area or of its authorities, or concerning the delimitation of its frontiers or boundaries.

The data presented are curated by IBAT Partners: BirdLife International, International Union for Conservation of Nature (IUCN) and United Nations Environment Programme World Conservation Monitoring Centre (UNEP-WCMC). These partners have developed in-depth knowledge about the value, limitations and appropriate use of these data, which can provide users with confidence when applying them in a decision-making context. Where particular data fields are missing for a particular country, please contact IBAT to discuss how we may be able to assist.

2 Information about Protected Areas

2.1 Overview

This section provides information on Protected Areas extracted from the World Database on Protected Areas (WDPA) which can be visualised and downloaded online at www.protectedplanet.net. The WDPA catalogues Protected Areas that meet IUCN (which is broadly considered to agree with the CBD definition, see Lopoukhine & de Souza Dias, 2012) definition of Protected Areas: "A clearly defined geographical space, recognised, dedicated and managed, through legal or other effective means, to achieve the long-term conservation of nature with associated ecosystem services and cultural values".

Protected Areas are a fundamental tool for conservation and national planning. They vary widely, by size, management objectives and governance types. Similarly, there are many different designations types of Protected Areas as sites can be designated at a national level (e.g. national parks), under regional agreements (e.g. the European Natura 2000 network) and under international conventions and agreements (e.g. natural World Heritage Sites). Often these different types of Protected Areas might occupy partially or totally the same geographic space (known as overlap). For example, the same or similar area can be a National Park and a natural World Heritage site at the same time.

These data are carefully curated by UNEP-WCMC. As with all datasets there is important information about its origin and character that should inform its appropriate use. Please see Appendix 1 for important information about these data.

Table 2. Overview of Protected Areas

Designation Type Number of Protected Areas
Total 34
National 34
Regional 0
International 0
With IUCN Category 34
With IUCN Category Percentage 100.0

Figure 3. Map showing Marine and Terrestrial Protected Areas

Terrestrial Protected Area

Marine Protected Area

2.2 Protected Areas by names of designation

Similarly to designation types, designation names are very variable especially for sites designated at a national level. The WDPA includes the total list of different designation names in a county, and it should be noted that they are often being managed by different agencies (Table 3). The WDPA includes also sites designation under international conventions and agreements which include sites designated under the Ramsar Convention, the World Heritage Convention and the UNESCO Man and Biosphere (MAB) programme (Table 3).

Table 3. Total number of Protected Areas designated at a national level and under international conventions and agreements.

Designation Name Number of Protected Areas Jurisdiction Name
Conservation Area 1 National
Forest Conservation Area 19 National
Marine Protected Area 7 National
Marine Reserve 3 National
Recreation Reserve 3 National
Reserve 1 National

*The WDPA only includes Natural and Mixed World Heritage Sites.

2.3 Protected Area coverage

The Protected Area coverage of a country is assessed by eliminating all overlaps between Protected Areas to avoid double counting. Figures of the total area under protection are presented in square kilometres. The calculation is presented for the landmass or terrestrial areas of the country’s territory and for the marine areas under national jurisdiction.

Table 4. Protected Area coverage overall statistics.

Terrestrial (including inland waters) Marine (0-200) nautical miles
Total Country Area (km²) 12575.13 622073.22
Protected Areas (km²) 528.22 47.51
Protected Areas Coverage (%) 4.20% 0.01%

2.4 IUCN Protected Area Management Categories

The IUCN Protected Area Management Categories help classify Protected Areas based on their primary management objectives. The system is widely accepted as a standard to categorise Protected Areas, although it is voluntary and not all Protected Areas have an IUCN Management Category assigned. Categorising Protected Areas under the IUCN Protected Area Management Categories enables comparisons in facilitating comparisons between countries for research purposes and reduces the confusion that has arisen from the adoption of many different terms and designations that describe the same kind of Protected Areas in different parts of the world. However, the absence of a management category does not in any way reduce the importance of a Protected Area, nor does it imply that the site is not being adequately managed.

Table 5. Protected Areas under each IUCN Management Category (See Dudley et al., 2008).

IUCN Management Category Number of Protected Areas % of total number Protected Areas
III 1 2.94%
VI 4 11.76%
Not Reported 29 85.29%

* Not Applicable: The IUCN Management Categories are not applicable to a specific designation type. This currently applies to World Heritage Sites and UNESCO MAB Reserves; ** Not Assigned: The data provider has chosen not to use the IUCN Protected Area Management Categories. *** Not reported: An IUCN category is unknown and/or the data provider has not provided any related information.

2.5 Protected Areas by governance type

Protected Areas can be under the control and responsibility of a range of different actors. Governance types describe the different means of management authority and responsibility that can exist for Protected Areas but they do not necessarily relate to ownership of a particular site. This list can assist in identifying key stakeholders for planning actions at a national level.

Table 6. Protected Areas under each governance type (See Borrini-Feyerabend et al., 2013).

IUCN Management Type IUCN Management Name Number of Protected Areas % of total number Protected Areas
Not Reported Not Reported 26 76.47%
Governance by Government Sub-national ministry or agency 8 23.53%

*Not Reported: the governance type is unknown and/or the data provider has not provided any related information.

Want to learn more?

The designations employed and the presentation of material on the maps in this profile do not imply the expression of any opinion whatsoever on the part of the IBAT Partners concerning the legal status of any country, territory, city or area or of its authorities, or concerning the delimitation of its frontiers or boundaries.

The data presented are curated by IBAT Partners: BirdLife International, International Union for Conservation of Nature (IUCN) and United Nations Environment Programme World Conservation Monitoring Centre (UNEP-WCMC). These partners have developed in-depth knowledge about the value, limitations and appropriate use of these data, which can provide users with confidence when applying them in a decision-making context. Where particular data fields are missing for a particular country, please contact IBAT to discuss how we may be able to assist.

3 Information about Key Biodiversity Areas

3.1 Overview

Key Biodiversity Areas (KBAs) are sites that contribute significantly to the global persistence of biodiversity in terrestrial, freshwater and marine ecosystems. They are identified through national processes by local stakeholders using a set of globally agreed scientific criteria.

See Table 7 for the number of KBAs in this country.

KBAs are useful for setting national priorities for establishing or expanding protected areas and ‘other effective area-based conservation measures’ (such as community-managed areas), for identifying priorities for conservation interventions, and for informing the implementation of site-safeguard policies. The typically bottom-up process by which they are identified recognises that most conservation action takes place at the local and national level.

The data presented below are drawn from the World Database of Key Biodiversity Areas, which is managed by BirdLife International on behalf of the KBA Partnership.

As with all datasets there is important information about its origin and character that should inform its appropriate use. Please see Appendix 1 for important information about these data.

*BirdLife International is a Global Partnership of more than a 100 national independent conservation NGOs – BirdLife Partners – that work together in a collaborative, coordinated fashion.

Table 7. Number of KBAs

Note: The total number of KBAs does not always equate to the sum of columns (Terrestrial, marine, Freshwater and Mountain). This is because some areas are identified as a KBA under more than one classification (for example: a coastal site may also be classified under both terrestrial and marine biomes). Sites that cover more than one biome are not counted twice in the total number.

KBA Type Terrestrial Marine Freshwater Mountain Total
IBA 11 6 0 9 12
AZE 1 0 0 0 1
All KBAs 28 19 0 21 29

Note that some KBAs qualify as both IBAs and AZEs. For further information please see the sources below:

3.2 Protected Area coverage of Key Biodiversity Areas

The graphs in Figure 5, Figure 6 and Table 8 display the degree to which KBAs are covered by Protected Areas (and Other Effective Area-based Conservation Measures for the very small number of countries so far that have reported them to the World Database of Other Effective Area-based Conservation Measures). These data are presented to illustrate the status and gaps in protection of important sites for biodiversity, and to inform prioritization of the establishment or expansion of Protected Areas or other biodiversity management approaches.

Figure 4. Map showing the overlap between Key Biodiversity Areas and Protected Areas.

Terrestrial Protected Area

Marine Protected Area

Key Biodiversity Area

Figure 5. Protected Area and OECM coverage of all KBAs (N=29), IBAs (N=12) and AZEs (N=1). Complete (> 98% coverage) = dark green, Partial = bright green, None (< 2%) = light green, Not assessed = grey.

3.3 Trends over time in Protected Area coverage of all KBAs

The table and graph below show trends in the mean percentage of each KBA that is covered by Protected Areas, based on data on the date of establishment of Protected Areas in the World Database on Protected Areas, and spatial overlaps between digital polygons for Protected Areas and KBAs. For full details, see https://unstats.un.org/sdgs/metadata/files/Metadata-15-01-02.pdf, https://unstats.un.org/sdgs/metadata/files/Metadata-15-04-01.pdf, and https://unstats.un.org/sdgs/metadata/files/Metadata-14-05-01.pdf

Figure 6. Trends in coverage of all KBAs by Protected Areas. Grey shading shows 95% confidence intervals where relevant.

Table 8. Mean percentage coverage of KBAs by Protected Areas and/or Other effective area-based conservation measures (OECMs).

Year Protected Areas and OECMs Protected Areas OECMs
1980 0.00% 0.00% 0.00%
1990 0.00% 0.00% 0.00%
2000 2.74% 2.74% 0.00%
2010 2.74% 2.74% 0.00%
2020 2.74% 2.74% 0.00%
2021 2.74% 2.74% 0.00%
2022 2.74% 2.74% 0.00%
2023 2.74% 2.74% 0.00%
2024 2.74% 2.74% 0.00%
Year Protected Areas and OECMs Protected Areas OECMs
1980 0.00% 0.00% 0.00%
1990 0.00% 0.00% 0.00%
2000 2.84% 2.84% 0.00%
2010 2.84% 2.84% 0.00%
2020 2.84% 2.84% 0.00%
2021 2.84% 2.84% 0.00%
2022 2.84% 2.84% 0.00%
2023 2.84% 2.84% 0.00%
2024 2.84% 2.84% 0.00%
Year Protected Areas and OECMs Protected Areas OECMs
1980 0.00% 0.00% 0.00%
1990 0.00% 0.00% 0.00%
2000 3.30% 3.30% 0.00%
2010 3.30% 3.30% 0.00%
2020 3.30% 3.30% 0.00%
2021 3.30% 3.30% 0.00%
2022 3.30% 3.30% 0.00%
2023 3.30% 3.30% 0.00%
2024 3.30% 3.30% 0.00%
Year Protected Areas and OECMs Protected Areas OECMs
1980 0.00% 0.00% 0.00%
1990 0.00% 0.00% 0.00%
2000 3.79% 3.79% 0.00%
2010 3.79% 3.79% 0.00%
2020 3.79% 3.79% 0.00%
2021 3.79% 3.79% 0.00%
2022 3.79% 3.79% 0.00%
2023 3.79% 3.79% 0.00%
2024 3.79% 3.79% 0.00%

3.4 Monitoring the conservation status of IBAs

At present, information on the conservation status of KBAs derived from systematic monitoring is available only for the subset of KBAs that are IBAs.

The pressures on IBAs (threats), their state (condition) and the responses in place (conservation actions) are each scored on a 4-point scale using a standardised monitoring protocol (https://datazone.birdlife.org/info/ibamonitoring) by BirdLife Partners, to provide a simple assessment of the conservation status of each site. Where available, data from the most recent assessments are summarised below. These indicators should facilitate assessment of the effectiveness of measures taken to address biodiversity loss.

Figure 7a. Pressure on IBAs: percentage of sites assessed in the country with different levels of threats to populations of the species for which each site qualifies as an IBA (n=5)

This chart is not currently available for this country

Figure 7b. State of IBAs: percentage of sites assessed in the country with different scores for the condition of populations of the species for which each site qualifies as an IBA (n=5)

This chart is not currently available for this country

Figure 7c. Responses for IBAs - percentage of sites assessed in the country with different scores for the adequacy of conservation actions to benefit populations of the species for which each site qualifies as an IBA (n=5)

This chart is not currently available for this country

* The 'Pressure - State - Response' framework has been recognised by the CBD Decision VII/8 as a guidance to assess national level implementation.

Want to learn more?

The designations employed and the presentation of material on the maps in this profile do not imply the expression of any opinion whatsoever on the part of the IBAT Partners concerning the legal status of any country, territory, city or area or of its authorities, or concerning the delimitation of its frontiers or boundaries.

The data presented are curated by IBAT Partners: BirdLife International, International Union for Conservation of Nature (IUCN) and United Nations Environment Programme World Conservation Monitoring Centre (UNEP-WCMC). These partners have developed in-depth knowledge about the value, limitations and appropriate use of these data, which can provide users with confidence when applying them in a decision-making context. Where particular data fields are missing for a particular country, please contact IBAT to discuss how we may be able to assist.

Appendix I. Important Information about the Data used in IBAT Country Profiles

I. On Species

This data contained in IBAT Country Profiles is based on all species assessed at the global level, for The IUCN Red List of Threatened Species™ (The IUCN Red List). The IUCN Red List is widely recognized as the most comprehensive, objective global approach for evaluating the conservation status of plant and animal species. The goal of The IUCN Red List is to provide information and analyses on the status, trends and threats to species in order to inform and catalyse action for biodiversity conservation.

Red List Categories:

  • EX - Extinct
  • EW - Extinct in the Wild
  • CR - Critically Endangered
  • EN - Endangered
  • VU - Vulnerable
  • NT - Near Threatened
  • LC - Least Concern
  • DD - Data Deficient

A taxon is Data Deficient when there is inadequate information to make a direct, or indirect, assessment of its risk of extinction based on its distribution and/or population status.

The high profile, standards and scientific integrity of The IUCN Red List are maintained in the following ways:

  • The scientific aspects underpinning The IUCN Red List are regularly published in the scientific literature (see examples cited in the Publications section);
  • The assessment process is clear and transparent;
  • The listings of species are based on correct use of the IUCN Red List Categories and Criteria and are open to challenge and correction;
  • All assessments are appropriately documented and supported by the best scientific information available;
  • The data are freely available to all potential users subject to specified Terms of Use;
  • The IUCN Red List is updated regularly, but not all species are reassessed with each update – many assessments simply roll-over from the previous edition; and
  • Analyses of the findings of The IUCN Red List are regularly published, approximately every four to five years.

Note that since extinction risk has been evaluated for less than 5% of the world's described species, The IUCN Red List cannot provide a direct estimate for how many of the planet's species are threatened. However, overall figures for numbers of species currently assessed in each Red List Category, along with an indication of which groups have been comprehensively evaluated is provided.

The species groups assessed are biased towards terrestrial ecosystems. Among the better-documented species, there is also a strong bias towards animals, rather than plants, but steps are underway to rectify these biases.

As many species have not been assessed fully at the global level, the data presented here may differ from those presented in particular national red lists. This is because some species have been assessed at global but not national scale, or vice versa, while others may vary in their extinction risk across different parts of their range and may therefore be more or less threatened in a particular country than they are at the global scale. The National Red Lists website provides access to national and regional Red List data. The website includes a searchable species database, a library of downloadable documents, a network of individuals involved in national/regional Red Listing around the world, and a discussion forum for specific queries.

Only a small number of the world's plant, fungi and animal species have been assessed. Some plants are not included in the current IUCN Red List, as were assessed using older versions of the IUCN Red List assessment system. For plants, it is best to also check the 1997 plants Red List publication.

The information on The IUCN Red List is updated approximately twice a year. The numbers of species listed in each category in The IUCN Red List change each time it is updated. This means that: the information is always growing and becoming more robust; the numbers of species presented my change; any species may move to a different category of threat because of improved knowledge of genuine improvement or deterioration in status; and taxonomic revisions may cause the total number of recognised species within a group to change.

All of the figures provided here are for species only (i.e., they do not include subspecies, varieties or geographically isolated subpopulations or stocks). More detailed analyses can be found on The IUCN Red List of Threatened Species website.

Information about Specific Data Outputs in

Species Assessed for Extinction Risk (Table 1)

The table provides totals of all assessed species in each IUCN Red List category by major taxonomic group, irrespective of whether the group has been comprehensively assessed.

Species Assessment Table (Table 1)

The table reflects certain native distributions, i.e. the table exclude all uncertain distributions, introduced species and vagrant records in the database for The IUCN Red List, where: introduced species are species that are/were introduced to a country, which are outside of their historical distribution range, through either direct or indirect human activity; vagrant species are species that are or were recorded in a country once or sporadically, but are known to not be native to the area; and uncertain distributions include countries where the presence of a certain species has not been confirmed, even though suitable habitat exists there, and countries where records of the species exist but require verification.

Red List Index (figure 1)

Full details of the methodology can be found at https://unstats.un.org/sdgs/metadata/files/Metadata-15-05-01.pdf. The index reflects trends in survival probability (the inverse of extinction risk) for mammals, birds, amphibians, corals and cycads, and so does not perfectly represent all taxonomic groups in the country. Additional taxonomic groups, in particular covering marine and plant groups will be added in next few years.

The Red List Indices for each taxonomic group for each year are modelled to take into account various sources of uncertainty: (i) Data Deficiency: Red List categories (from Least Concern to Extinct) are assigned to all Data Deficient species, with a probability proportional to the number of species in non-Data Deficient categories for that taxonomic group. (ii) Extrapolation uncertainty: although Red List Indices are extrapolated linearly based on the slope of the closest two assessed point, there is uncertainty about how accurate this slope may be. To incorporate this uncertainty, rather than extrapolating deterministically, the slope used for extrapolation is selected from a normal distribution with a probability equal to the slope of the closest two assessed points, and standard deviation equal to 60% of this slope. (iii) Temporal variability: the ‘true’ RLI likely changes from year to year, but because assessments are repeated only at multi-year intervals, the precise value for any particular year is uncertain. To make this uncertainty explicit, the Red List Index value for a given taxonomic group in a given year is assigned from a moving window of five years, centered on the focal year. The 95% confidence intervals are calculated from 1,000 replications of a bootstrapping procedure taking into account these various sources of uncertainty. Assessment uncertainty cannot yet be incorporated into the index.

Species are not equally threatened across their ranges, and not all species occurring within a country are of equal global significance. The Red List Index presented here takes this into account by weighting each species occurring in the country by the proportion of its global distribution occurring in a country; hence, nationally endemic species contribute much more than species with very large distributions spanning many countries or continents. While national red lists based on assessments of extinction risk at the national scale may provide more sensitive measures of status within a particular country, national red list indices based on repeated national red lists may show trends driven by changes in the status of species within the country that are of trivial global significance (because they have very large global ranges). In the context of the Aichi Targets and Sustainable Development Goals, such national red list indices may therefore be misleading (for example, in an extreme case reflecting local improvements in the status of abundant widespread species while masking extinctions of species found nowhere else outside the country). For these reasons, the Red List Index presented here represents a national disaggregation of the global index, but weighting each species by the national responsibility for its conservation (i.e. the proportion of its global distribution within the country). A further advantage of this approach is that it reflects trends over two decades for five taxonomic groups: no countries have repeated national red lists spanning such a duration and with such taxonomic breadth.

Number of species by threat type

This information includes all assessed species (not only those comprehensively assessed) that have been classified as threatened (i.e. assessed as being CR, EN or VU). Direct threats are the proximate human activities or processes that have impacted, are impacting, or may impact the status of the taxon being assessed (e.g., unsustainable fishing or logging). Direct threats are synonymous with sources of stress and proximate pressures. A full list of definitions for each threat category can be found here: https://www.iucnredlist.org/technical-documents/classification-schemes/threats-classification-scheme.

The threats listed are those known to impact the species or taxonomic groups at the global level, but it should be noted that they may not impact populations in all countries in which the species occurs. For more information about the nature of the impacts on threats and the threat classification scheme see https://www.iucnredlist.org/technical-documents/classification-schemes/threats-classification-scheme

II. On Protected Areas

The World Database on Protected Areas (WDPA) is widely seen as the most comprehensive global database on terrestrial and marine Protected Areas. It is compiled by UNEP-WCMC from around 500 data providers from governmental and non-governmental organizations. Protected Area statistics in this report might differ from those reported officially by governments. To better understand these differences please go to: https://www.protectedplanet.net/c/calculating-protected-area-coverage.

The data submitted to the WDPA must comply with WDPA Data Standards which ensure consistency and comparability. However, a wide range of sources will work at different scales, use various techniques, and will have with different capacity and resources to digitize Protected Area boundaries. This results in a great variation in accuracy and resolution. Although the WDPA team works with data providers to improve the quality of the data submitted, issues with spatial accuracy of the WDPA data should be expected. In addition, delays in updating datasets from specific countries are expected as several interactions with official data providers are needed to include a Protected Area boundary in the WDPA from when it is designated or proposed or a dataset is updated by a country.

Using the field status year to determine changes in Protected Area coverage over time

Each version of the WDPA is the most accurate understanding of the world's Protected Areas as of the date of that version's release. Protected Areas can be added, removed or change in a tabular (change in their name, designation type, IUCN Category, etc.) and/or spatial context (e.g. change of the boundaries of a site) between versions of the WDPA. To assess Protected Area coverage over time using the WDPA field 'STATUS_YEAR', it is important to note the following:

  • The 'STATUS_YEAR' field records the date of Protected Area designation at the time of the version of the WDPA used.
  • This analysis can only show an increase in coverage over time
  • This analysis does not include sites which have previously been in the WDPA but have been removed for any reason, e.g. degazettement.
  • This analysis does not capture how existing sites used to be, e.g. before an expansion to their boundaries.

Therefore, using the 'STATUS_YEAR' field quantifies the amount of area added to the world's Protected Area estate, per year, for those Protected Areas that are, as of the date of version of the WDPA used, known about and considered Protected Areas. Thus this analyses might not provide accurate information on when a given area has been protected for the first time.

More information about how the WDPA is compiled, collated, managed and disseminated, including the WDPA Data Standards, and recommendation on how to use and cite the database are available in the WDPA User Manual at https://wcmc.io/WDPA_Manual.

III. On Key Biodiversity Areas

Key Biodiversity Areas (KBAs): KBAs are identified using a set of criteria in the Global Standard for the Identification of Key Biodiversity Areas (IUCN 2016). These criteria relate to threatened taxa and ecosystems, geographically restricted species and ecosystems, ecological integrity, demographic aggregations, ecological refugia, source populations and sites of high irreplaceability. These criteria have been developed building off those used to identify existing networks of subsets of KBAs, including in particular Important Bird and Biodiversity Areas (IBAs), Alliance for Zero Extinction (AZE) sites, and, for some countries, KBAs identified through hotspot ecosystem profiles developed with support from the Critical Ecosystem Partnership Fund (CEPF). Details for each of these are given below. Data on KBAs are held in the World Database of Key Biodiversity Areas, managed by BirdLife International on behalf of the KBA Partnership.

Important Bird and Biodiversity Areas (IBAs): IBAs are identified using data on birds applied to four criteria relating to threatened species, restricted-range species, biome-restricted species and congregatory species (BirdLife International 2014). IBAs have been identified mainly through bottom-up multi-stakeholder processes coordinated by national BirdLife Partners. IBAs have been identified in terrestrial, freshwater and marine realms in over 200 countries and territories worldwide, but key remaining gaps include terrestrial New Zealand and New Guinea (Indonesia and Papua New Guinea). Spatial (GIS) data on the boundaries of each IBA have been drawn largely from data provided directly by BirdLife Partners, but also includes some data digitised by the BirdLife Secretariat or consolidated from third party sources where other information was not available. Polygons for IBAs are available for >95% of sites, but the exceptions are represented in a separate dataset by a point showing its approximate location.

Alliance for Zero Extinction (AZE): AZE sites hold the last remaining population of one or more highly threatened species. They are defined as discrete areas that contain at least 95% of the known global population of an Endangered (EN) or Critically Endangered (CR) species at least one life-history segment (e.g. breeding or wintering). The loss of an AZE site would result in the global extinction of a species in the wild. AZE sites have been identified for mammals, birds, amphibians, some reptile groups (Testudines, Crocodylia, and Iguanidae), conifers and corals.

KBAs identified through CEPF hotspot ecosystem profiles. These sites have been identified using the criteria of Langhammer et al (2007) relating to vulnerability (presence of globally threatened species) and irreplaceability (restricted range species, those with large but clumped distributions, globally significant congregations, globally significant source populations and bioregionally restricted assemblages). They have typically been applied using the first of these criteria to terrestrial vertebrates, and in some cases selected plant and invertebrate groups. A small number of other KBAs have been identified through other initiatives using the Langhammer et al (2007) criteria.